Baru-baru ini, satu pasukan penyelidikan dari Hospital China barat universiti Sichuan menjalankan analisis mendalam data kesihatan dan pemakanan peperiksaan kebangsaan (NHANES) dari 2009 hingga 2018, yang melibatkan peserta 19,280. Keputusan menunjukkan bahawa karotenoid mempunyai kesan yang ketara dalam memperlahankan pecutan phenotypic penuaan, β-karotena dengan β-cryptoxanthin yang amat ketara. Ini menunjukkan bahawa pigmen semulajadi ini mempunyai potensi besar dalam bidang anti-penuaan.

Karotenoid adalah pigmen larut lemak semulajadi yang terdapat secara meluas dalam alga, kulat, bakteria, dan tumbuh-tumbuhan. Lebih daripada 700 karotenoid semulajadi telah dikenalpasti. Berdasarkan struktur kimia mereka, karotenoid boleh dibahagikan kepada dua kategori: satu yang hanya mengandungi unsur karbon dan hidrogen tanpa oksigen (seperti α-karoten, β-karoten, dan lycopene), dan satu lagi yang terdiri daripada derivatif teroksidasi mereka yang mengandungi kumpulan fungsian oksigen seperti hidroksil, keto, karboksil, dan kumpulan methoxy (Seperti lutein dan zeaxanthin). Antara karotenoid yang beredar dalam darah manusia, enam jenis-α-karotena, β-karotena, β-cryptoxanthin, lycopene, lutein, dan zeaxanthin-akaun lebih daripada 95%.
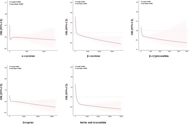
Satu kajian berdasarkan data kesihatan dan pemakanan peperiksaan kebangsaan (NHANES) meneroka hubungan antara pengambilan karotenoid pemakanan dan proses penuaan biologi. Penyelidikan memperolehi tahap pengambilan karotenoid dengan menganalisis data pemakanan dan menilai umur biologi menggunakan kaedah PhenoAge dan Klemera-Doubal (KDM).
Keputusan menunjukkan bahawa tahap karotenoid pemakanan yang lebih tinggi dikaitkan dengan kadar penuaan biologi yang lebih perlahan, mencadangkan bahawa karotenoid mempunyai kesan anti-penuaan yang berpotensi. Analisis selanjutnya mendedahkan hubungan tak linear yang ketara antara tahap karotenoid dan pecutan umur biologi, menunjukkan bahawa kesan pelindung mereka dipertingkatkan pada tahap pengambilan yang lebih tinggi.

Hasil penyelidikan menunjukkan bahawa β-karotena dan β-cryptoxanthin mempunyai kesan yang sangat ketara dalam anti-penuaan. Di samping itu, kesan anti-penuaan karotenoid berbeza-beza antara populasi yang berbeza. Khususnya, individu yang lebih muda (di bawah umur 60 tahun), wanita, pesakit dengan tekanan darah tinggi, dan pesakit diabetes mendapat manfaat lebih ketara daripada pengambilan karotenoid yang tinggi, yang membantu melambatkan proses penuaan biologi.

Penuaan adalah proses biologi yang kompleks yang dicirikan oleh penurunan secara beransur-ansur dalam fungsi fisiologi dan kerentanan yang meningkat kepada penyakit. Tekanan oksidatif dan keradangan adalah faktor utama yang memacu proses penuaan. Karotenoid, kerana struktur molekul mereka yang mengandungi banyak bon berganda terkonjungsi, mempunyai keupayaan antioksidan yang kuat. Mereka berkesan boleh meneutralkan radikal bebas dan mengurangkan keradangan, dengan itu menghapuskan spesies oksigen reaktif (ROS) seperti radikal peroksida dan oksigen singlet dalam badan, memainkan peranan penting dalam mempromosikan penuaan yang sihat.
Potensi anti-penuaan karotenoid terutamanya berdasarkan keupayaan mereka untuk mempromosikan translocation faktor nuklear 2 faktor berkaitan erythroid 2 (Nrf2) kepada cNukleus ell. Sebaik sahaja Nrf2 translocates ke pusat, ia memulakan transkripsi enzim antioksidan dan detoksifikasi. Di samping itu, sebagai sel membahagikan, telomeres mereka secara beransur-ansur memendekkan sehingga kematian sel berlaku, dan ROS dan keradangan mempercepatkan pemendekan telomere ini. Telah dilaporkan bahawa pengambilan makanan yang tinggi β-karotena dikaitkan dengan panjang telomere yang lebih lama.
Karotenoid, kerana kuasa pewarna yang kuat dan warna yang stabil, digunakan secara meluas dalam pelbagai bidang, seperti pewarna untuk minuman, gula-gula, dan makanan lain, serta aditif pemakanan dalam makanan kanak-kanak. Karotenoid bukan sahaja mempunyai aktiviti vitamin A tetapi juga menyumbang kepada kesihatan kardiovaskular dan kulit. Mereka memainkan peranan penting dalam peraturan fisiologi dan pencegahan penyakit dalam tubuh manusia.
Karotenoid membantu melindungi kesihatan kardiovaskular dengan menghalang pengoksidaan lipoprotein berketumpatan rendah (LDL), menghalang perkembangan aterosklerosis, dan melindungi sel vaskular dari kerosakan oksidatif, dengan itu mengekalkan fungsi vaskular. Antara ini, lycopene dan lutein mempunyai manfaat yang signifikan dalam hal ini. Meta-analisis mendapati bahawa individu yang mempunyai pengambilan pemakanan lycopene mempunyai 17% mengurangkan risiko penyakit kardiovaskular. Kesan lutein adalah 15 kali ganda daripada lycopene dan 10 kali ganda daripada β-karotena, berkesan menghalang peroxidation lipid.
Photoaging terutamanya disebabkan oleh faktor-faktor alam sekitar dan menunjukkan penurunan keanjalan kulit, pigmentasi yang tidak normal, kekeringan, dan gatal-gatal. Radiasi Ultraviolet (UV) adalah pencetus utama, mempercepatkan penuaan kulit dengan mempromosikan penjanaan spesies oksigen reaktif (ROS), yang mengganggu fungsi perlindungan dan pembaikan kulit. Kajian telah menunjukkan bahawa menambahkan dengan karotenoid berkesan dapat mencegah pembentukan ROS yang disebabkan oleh UV. Sebagai contoh, astaxanthin meningkatkan kesihatan kulit dan mengenakan kesan anti-photoaging dengan menghalang kerosakan oksidatif. Ia boleh menyekat sintesis melanin, mengurangkan pigmentasi, meningkatkan kelembapan kulit, dan meningkatkan kulit kering. Penyelidikan menunjukkan bahawa pengambilan lisan astaxanthin boleh mengurangkan bintik-bintik umur dan kedutan, dan meningkatkan penghidratan dan keanjalan kulit. Di samping itu, astaxanthin boleh mengurangkan kerosakan kulit yang disebabkan oleh UV, mengurangkan kehilangan kelembapan dan ruam, dan melindungi kesihatan kulit.
Pengambilan pemakanan karotenoid dianggap sebagai strategi asas untuk mencegah penyakit hati berlemak bukan alkohol (NAFLD). Lycopene mempamerkan sifat hepatoprotective terhadap pelbagai penyakit hati, termasuk penyakit hati berlemak alkohol dan bukan alkohol. Kesan perlindungan hati lycopene terutamanya berpunca daripada keupayaan antioksidan yang kuat, yang berkesan menghalang kerosakan sel yang disebabkan oleh spesies oksigen reaktif (ROS). Di samping itu, kajian telah menunjukkan bahawa β-karotena, salah satu karotenoid yang paling banyak di hati, menunjukkan kesan hepatoprotective yang ketara. Meningkatkan pengambilan makanan β-karoten dapat mengurangkan risiko steatosis hepatik dan kerosakan sel hati radikal bebas.
Degenerasi makular yang berkaitan dengan usia (AMD) adalah penyakit yang merosakkan penglihatan yang biasa terutamanya disebabkan oleh kerosakan degeneratif kepada photoreceptors dalam individu yang matang. Ia telah menjadi punca utama buta pada orang yang berusia 65 tahun. Ia diramalkan bahawa menjelang tahun 2040, globalprevalence AMD akan meningkat kepada hampir 288 juta orang [6].
Manifestasi awal AMD termasuk penglihatan menurun, mengurangkan sensitiviti kontras, dan keadaan visual yang berkurangan, dicirikan oleh penurunan secara beransur-ansur dalam penglihatan berfungsi apabila keadaan berkembang. Karotenoid memainkan peranan penting dalam mengekalkan kesihatan dan fungsi rantau makular. Antara pelbagai karotenoid, lutein dan zeaxanthin telah ditunjukkan untuk menyeberang halangan darah-retina dan berkumpul di retina untuk membentuk pigmen makular, proses penting untuk perlindungan makular.
Di samping itu, astaxanthin, ahli keluarga lutein terutamanya ditemui dalam organisma marin, dipercayai mempunyai kesan perlindungan yang berpotensi terhadap kerosakan retina yang disebabkan oleh cahaya dan disfungsi. Disebabkan oleh struktur molekul yang unik, astaxanthin boleh melepasi membran bilayer sel, berkesan scavenging spesies oksigen reaktif dalam kedua-dua lapisan dalaman dan luaran sel-sel, dengan itu menyediakan mekanisme pertahanan terhadap tekanan oksidatif untuk retina.
Rujukan:
[1] https://link.springer.com/article/10.1007/s10522-024-10160-4
[2] https://www.mdpi.com/1422-0067/24/20/15199
[3] https://pubmed.ncbi.nlm.nih.gov/28318092/
[4] https://pubmed.ncbi.nlm.nih.gov/31605782/
[5] https://pubmed.ncbi.nlm.nih.gov/31904420/
[6] https://pUbmed.ncbi.nlm.nih.gov/34829613/
Sumber imej: pixabay, pautan: https://pixabay.com/zh/photos/smoothie-fruit-vegetables-1578240/